板式鏈
對于鏈條而言,叉車和堆高機都是非常特殊的應用設備,每天需要不間斷的往返載運各種大噸位的物質,并在重載的情況下做高頻率的橫移和升降操作。板式鏈條是叉車上的安全件,其耐用性有利于提高用戶的工作效率和降低維護成本,而且其可靠性直接關系到重大財產安全和人身安全。
板式鏈是由多片鏈板與銷軸組合而成,這種結構決定了板式鏈相比于其它鏈條,具有更大的強度/重量比,承載能力大,承受沖擊能力強,維護簡單。
CHJC為板式鏈這一傳統的機械基礎件賦予了一種全新的概念和功能,從而確保你的設備擁有更長的使用壽命、更高級別的安全性能和低的維護成本。

恒久在板式鏈條的研發制造過程中,秉承“一切為了安全”的理念,從6大方面嚴把板式鏈條品質關,恒久板式鏈條一直以耐磨、高強度、長壽命而廣受客戶的贊譽。

僅選用高等級的材料
根據我們的實踐經驗,不同鋼廠出品的原材料,即使是同樣的鋼材牌號、類似的鋼材元素,采用相同的精加工、熱處理及裝配工序制造出來的鏈條,在疲勞載荷方面的表現差異也非常大。恒久的板式鏈條僅選用特定鋼廠的高質量原材料,以保障板式鏈條的品質穩定性。
自主知識產權的高精模具孔徑質量、節距散差、孔光亮帶等鏈片關鍵點,是鏈片承載一致性、鏈條牢固度和疲勞性能的關鍵要素。恒久采用特定的高精度模具加工零件,鏈片孔的光亮帶確保在80%以上。
高質量的熱處理和表處理恒久采用先進技術的連續式網帶爐加工鏈條零部件,保證零部件熱處理的高質量和一致性。恒久板式鏈鏈條的零部件,全部采用鋼丸噴丸處理,進一步提高了鏈條的疲勞強度。
光學影像檢測恒久板式鏈條的銷軸,實現100%光學檢測,徹底杜絕了傳統依靠人眼識別不良品而帶來的品質風險。利用光學檢測技術對產品的缺件、裝配不良等方面再次檢測。
全自動裝配和在線檢測線由恒久自主研制的全自動裝配和在線檢測線,集組裝、機械式缺件檢測、磁感應缺件檢測、長短銷檢測、靜態預拉、鉚合、上油、拆節等工序于一體,大大提高了生產效率,降低了品質對人的依賴度。
所有鏈條都在預拉。高質量的預位不公有效提高鏈條的初期伸長及疲勞強度,同時也具有鏈條校直的作用。
品質追溯系統恒久板式鏈全面實施精準生產模式,制造和品管數據全部儲存于集團EAS系統,可按需要實現品質追溯,直至原材料供方和材料批號。
我們可根據客戶需要提供卷裝鏈條和帶螺桿鏈條。
快速響應
恒久有獨立的板式鏈制造部門和專職營銷隊伍,并有相應量備貨,能快速響應客戶的需求。
全系列叉車鏈條及附件
恒久能提供全系列叉車鏈條及附件,包括AL系列、BL系列和LL系列板式鏈、液壓油泵齒形鏈、帶油管導槽鏈條、帶螺桿鏈條。此外,根據不同的叉車作業環境,我們向客戶分別推薦磷化發黑、達克羅、鋼本色3類不同的產品。
定制開發
恒久已為多家主機廠提供鏈條及附件定制開發,并提供潤滑防銹方面的綜合方案。
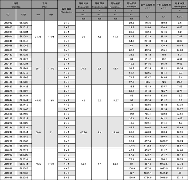
AL系列板式鏈的零件源于ANSI滾子鏈標準,鏈板的外形尺寸和銷軸直徑等同于同節距滾子鏈的外鏈板和銷軸,是一種輕系列板式鏈。適于直線往返傳動結構。
表內最小抗拉強度值不是板式鏈的工作載荷。在提升應用時,設計者或使用者要給予一個至少為5:1的安全系數。

BL系列板式鏈的零件源于ANSI滾子鏈標準,鏈板的外形尺寸等同于同節距滾子鏈的外鏈板,但鏈板的厚度加厚,銷軸的直徑加大,因此是一種重系列板式鏈。適于直線往返傳動結構。
表內最小抗拉強度值不是板式鏈的工作載荷。在提升應用時,設計者或使用者要給予一個至少為5:1的安全系數。


LL系列板式鏈的零件源于BS滾子鏈標準,鏈板的外形尺寸和銷軸直徑等同于同節距滾子鏈的外鏈板和銷軸,是一種輕系列板式鏈。適于直線往返傳動結構。
表內最小抗拉強度值不是板式鏈的工作載荷。在提升應用時,設計者或使用者要給予一個至少為5:1的安全系數。

帶油管導槽鏈
根據不同的叉車作業環境,我們向客戶分別推薦磷化發黑、達克羅、鋼本色3類鏈條,以及鍍鉻和磷化發黑2類螺桿。
實踐證明,鋼本色鏈條和磷化發黑鏈條能滿足絕大部分工作環境的要求。其中,磷化發黑鏈條具有較高的防銹性能,中性鹽霧試驗結果顯示,防銹時間可達60-80小時,不僅大大超過鍍鋅的防銹效果,也避免了電鍍鏈條可能產生的脆性。
達克羅鏈條具有良好的防腐蝕性能,特別適用于潮濕環境或對銹蝕特別敏感的工作環境,比如食品等領域。中性鹽霧試驗結果顯示,達克羅鏈條的防銹時間達到500小時以上。
叉車液壓油泵齒鏈









